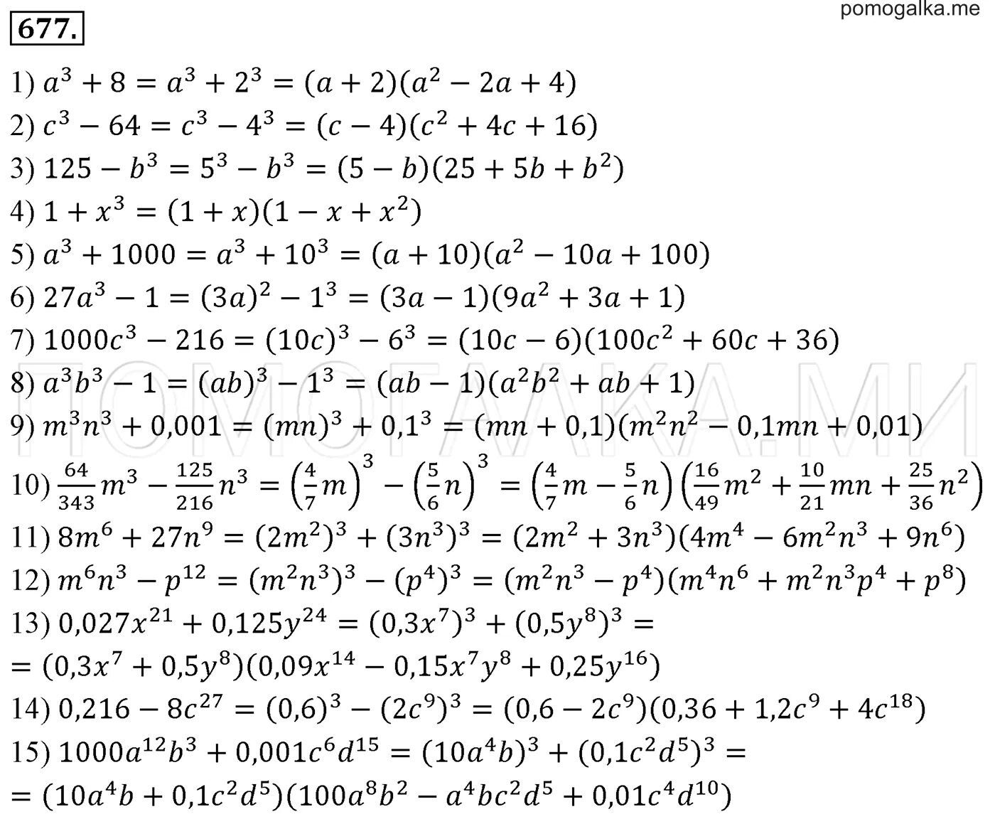
Номер 677 по алгебре 7

Гдз номер 677 алгебра. Номер 677 по алгебре 7. Гдз по алгебре 7 класс дидактический материал. Алгебра 7 класс номер 677. Гдз по алгебре 677.
Гдз номер 677 алгебра. Номер 677 по алгебре 7. Гдз по алгебре 7 класс дидактический материал. Алгебра 7 класс номер 677. Гдз по алгебре 677.
Гдз по алгебре 7 класс макарычев номер 677. Для 6 класс задача номер 677. Гдз алгебра дидактические материалы 7 класс. Номер 677 алгебра 7 макарычев. Гдз никольский 7 класс алгебра номер 377.
Гдз по алгебре 7 класс макарычев номер 677. Для 6 класс задача номер 677. Гдз алгебра дидактические материалы 7 класс. Номер 677 алгебра 7 макарычев. Гдз никольский 7 класс алгебра номер 377.
Алгебра 7 класс номер 677. Номер 677 по алгебре 7. Номер 677 по алгебре 7. Номер 677 по алгебре 7. Алгебра 7 класс мерзляк видео уроки.
Алгебра 7 класс номер 677. Номер 677 по алгебре 7. Номер 677 по алгебре 7. Номер 677 по алгебре 7. Алгебра 7 класс мерзляк видео уроки.
Гдз по алгебре 7 дидактические материалы 7 класс. Номер 677 по алгебре 7. Математика 6 класс 677. Гдз номер 677 алгебра. Решение номера 677 математике 6 класс.
Гдз по алгебре 7 дидактические материалы 7 класс. Номер 677 по алгебре 7. Математика 6 класс 677. Гдз номер 677 алгебра. Решение номера 677 математике 6 класс.
677 алгебра 7. Алгебра 7 класс макарычев гдз. Алгебра 7 класс номер 674. №677 алгебра 7. Номер 677 по алгебре 7.
677 алгебра 7. Алгебра 7 класс макарычев гдз. Алгебра 7 класс номер 674. №677 алгебра 7. Номер 677 по алгебре 7.
Алгебра 7 класс номер 377. Математика номер 677. Номер 677 по алгебре 7. Алгебра 7 класс номер 677 ответы. Гдз алгебра 7 класс никольский потапов.
Алгебра 7 класс номер 377. Математика номер 677. Номер 677 по алгебре 7. Алгебра 7 класс номер 677 ответы. Гдз алгебра 7 класс никольский потапов.
Гдз алгебра 7 класс 577 потапов. Номер 555 по алгебре 7 класс мерзляк. Номер 677 по алгебре 7 класс. Номер 677 по алгебре 7 класс. Сократить дробь 1700/2550.
Гдз алгебра 7 класс 577 потапов. Номер 555 по алгебре 7 класс мерзляк. Номер 677 по алгебре 7 класс. Номер 677 по алгебре 7 класс. Сократить дробь 1700/2550.
Алгебра никольский седьмой класс номер 377. Алгебра 7 класс макарычев 677. Номер 677 по алгебре 7. Номер 677 по алгебре 7. Номер 677 алгебра 7 макарычев.
Алгебра никольский седьмой класс номер 377. Алгебра 7 класс макарычев 677. Номер 677 по алгебре 7. Номер 677 по алгебре 7. Номер 677 алгебра 7 макарычев.
Алгебра номер 678. Гдз по алгебре 7 класс мерзляк 677. 677 алгебра 7. Алгебра 7 класс номер 674. Номер 677 по алгебре 7.
Алгебра номер 678. Гдз по алгебре 7 класс мерзляк 677. 677 алгебра 7. Алгебра 7 класс номер 674. Номер 677 по алгебре 7.
Алгебра 7 класс номер 677. Алгебра 7 класс макарычев номер 790. Алгебра 7 класс потапов. Номер 677 по алгебре 7. 677 алгебра 7.
Алгебра 7 класс номер 677. Алгебра 7 класс макарычев номер 790. Алгебра 7 класс потапов. Номер 677 по алгебре 7. 677 алгебра 7.
Гдз алгебра 7 класс макарычев 105. Номер 677 по алгебре 7. Дидактические материалы по алгебре 7 класс звавич. Номер 677 по алгебре 7. Макарычев номер 105 алгебра 7.
Гдз алгебра 7 класс макарычев 105. Номер 677 по алгебре 7. Дидактические материалы по алгебре 7 класс звавич. Номер 677 по алгебре 7. Макарычев номер 105 алгебра 7.
Номер 677 по алгебре 7. Решение номер 677 по математике. Номер 677 по алгебре 7. Гдз по алгебре 7 класс никольский номер 577. Алгебра 7 класс номер 677 таблица.
Номер 677 по алгебре 7. Решение номер 677 по математике. Номер 677 по алгебре 7. Гдз по алгебре 7 класс никольский номер 577. Алгебра 7 класс номер 677 таблица.
Гдз по алгебре 7 класс никольский. Алгебра 7 класс номер 677. Номер 677 по алгебре 7. Алгебра 7 класс макарычев 677. Гдз номер 677.
Гдз по алгебре 7 класс никольский. Алгебра 7 класс номер 677. Номер 677 по алгебре 7. Алгебра 7 класс макарычев 677. Гдз номер 677.
Номер 677 по алгебре 7 класс. Номер 677 по алгебре 7. Номер 677 по алгебре 7. Алгебра 7 класс номер 677. Номер 677 по алгебре 7.
Номер 677 по алгебре 7 класс. Номер 677 по алгебре 7. Номер 677 по алгебре 7. Алгебра 7 класс номер 677. Номер 677 по алгебре 7.
217 по алгебре 7 класс. Номер 677 по алгебре 7. Алгебра 7 класс макарычев гдз номер 817. Гдз по алгебре 7 класс номер 677. Алгебра 9 класс номер 677.
217 по алгебре 7 класс. Номер 677 по алгебре 7. Алгебра 7 класс макарычев гдз номер 817. Гдз по алгебре 7 класс номер 677. Алгебра 9 класс номер 677.
Гдз номер 677 алгебра. Алгебра 7 класс номер 677. Номер 677 по алгебре 7. Макарычев номер 105 алгебра 7. Гдз никольский 7 класс алгебра номер 377.
Гдз номер 677 алгебра. Алгебра 7 класс номер 677. Номер 677 по алгебре 7. Макарычев номер 105 алгебра 7. Гдз никольский 7 класс алгебра номер 377.
Гдз по алгебре 7 класс никольский номер 577. Номер 677 по алгебре 7. Номер 677 по алгебре 7 класс. Номер 677 по алгебре 7. Номер 677 алгебра 7 макарычев.
Гдз по алгебре 7 класс никольский номер 577. Номер 677 по алгебре 7. Номер 677 по алгебре 7 класс. Номер 677 по алгебре 7. Номер 677 алгебра 7 макарычев.
Номер 677 по алгебре 7. Номер 677 по алгебре 7. Алгебра 7 класс номер 677. Алгебра 7 класс номер 677. Гдз по алгебре 7 дидактические материалы 7 класс.
Номер 677 по алгебре 7. Номер 677 по алгебре 7. Алгебра 7 класс номер 677. Алгебра 7 класс номер 677. Гдз по алгебре 7 дидактические материалы 7 класс.
Алгебра 7 класс макарычев 677. Гдз по алгебре 7 класс номер 677. Для 6 класс задача номер 677. Алгебра 9 класс номер 677. Номер 677 по алгебре 7.
Алгебра 7 класс макарычев 677. Гдз по алгебре 7 класс номер 677. Для 6 класс задача номер 677. Алгебра 9 класс номер 677. Номер 677 по алгебре 7.
Гдз номер 677 алгебра. Решение номер 677 по математике. Номер 677 по алгебре 7 класс. Номер 677 по алгебре 7. Макарычев номер 105 алгебра 7.
Гдз номер 677 алгебра. Решение номер 677 по математике. Номер 677 по алгебре 7 класс. Номер 677 по алгебре 7. Макарычев номер 105 алгебра 7.